Contacts: Oskar Vafek, Xiaoyu Wang
TALLAHASSEE, Fla. — Like opening or closing lanes on a highway changes traffic flow, stretching atomic-scale materials can impact the flow of electricity. Researchers now have a better understanding of how even a tiny tug can change the marvel material graphene.
Scientists at the National MagLab, collaborating with a team of researchers from Stanford University, have confirmed for the first time how strain in twisted bilayer graphene impacts its structure and properties more than previously realized.
"The strain plays an important role," said Oskar Vafek, a MagLab condensed matter theorist, "It has this remarkable effect."
Graphene is a honeycomb sheet of carbon discovered about 20 years ago. It's flexible, stronger than steel, and a thousand times more conductive than silicon. It's also just one atom thick. You'd have to stack 650,000 graphene sheets together to equal just one human hair.
A few years ago, researchers learned that by stacking just two layers and adding a slight twist, they could form a new lattice capable of becoming a superconductor or an insulator depending on how much electrical charge is introduced. This remarkable array of properties is inspiring dozens of applications from aircraft parts to energy systems to medical products.
But this latest research pushes the story even farther, expanding to a deeper understanding of the material and even more possible uses.
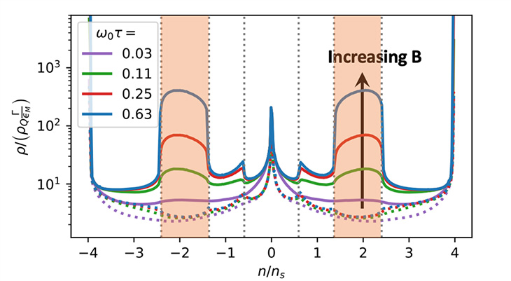
MagLab theorists, harnessing data from a Stanford team's experiments, found that a slight strain on just one layer of twisted graphene yields an amplified effect on the material. Because of the twisted graphene's unique structure, a pull of just two tenths of a percent delivers a more than eight percent shift across the material's two-layered lattice, according to the theory and data analysis. Imagine two fishing nets on top of one another, then stretching one of the nets to change the pattern they create. Because of that physical shift, an applied magnetic field of just a couple of tesla can trigger 100 times greater electrical resistance within a certain electron concentration range.

Theory predicts that electrical resistance increases dramatically with magnetic field over a broad electron density range (shaded region), in agreement with experiments.
"This tells us in a very concrete setting that some infinitesimal amount of strain can have an amplified and dramatic effect," said Xiaoyu Wang, Postdoctoral Associate at the MagLab.
This new paper provides a first confirmation on how strain in twisted bilayer graphene impacts the lattice and its resistance under magnetic field.
"Many people previously have really just neglected strain, thinking it's just a small phenomenon," Wang said. "There are many possibilities of tunability once you add this. It could give us lots of electronic properties we haven't even explored in the twisted materials," said Wang.
Miniscule strain is an unintended byproduct of fabricating graphene. But the material could also be strained on purpose to manipulate its properties and create new applications.
"Imagine we can take advantage of this amplifying effect of strain to engineer this surface to look the way we want it," Vafek said, "Clever people can figure out, 'Aha! This is useful for this. This is useful for that.' You can understand it and even manipulate it to engineer electronics according to design."
As with many discoveries, solving this puzzle has only led to more questions. The team's findings come from bilayer graphene twisted at 1.38 degrees, a few tenths of a degree off from graphene's so-called "magic angle" of 1.1 degrees, where the material can become superconducting.
"It's expected as you go to smaller angles the strain is the same or gets worse," Vafek said, "We think the strain effect is going to be there, even at the magic angle."
Beyond their groundbreaking confirmation of the role strain plays in graphene, these latest findings offer new tools to approach other challenges, including what Wang calls the holy grail: graphene's superconducting capability.
"We all want to understand why it becomes superconducting. That's the big elephant in the room. But to understand the elephant, we first need get into the room. We really believe that strain is an essential part in understanding what the room is," said Wang.
Scientists from Sandia National Laboratories and the National Institute for Materials Science in Japan also collaborated on the paper. The findings are published in the Proceedings of the National Academy of Sciences.


